潜孔冲击器钻进技术参数问题

2019-06-21 14:20:58 米数多 528

1、风量、风速和风压

       一般认为所有压缩空气的压力高,则潜孔冲击器钻进的效率也高,而且钻头的使用寿命也长。供风量不仅是保证冲击器工作的基本条件,也是保证钻孔是否正常排粉的重要因素,因为在干空气的钻进情况下,排粉效果的好坏,主要是和上返风速有关,而风速就和供风量发生直接关系。

       风量根据所用冲击器的性能以及要满足洗井所需要的上返风速而确定。因为岩屑在气流介质中由于本身的粘度、密度和形状的不同而具有不同的悬浮速度,因此要使用岩屑有效的排出孔外,达到孔底干净,就必须采用大于岩屑悬浮速度的上返风速。对于反循环潜孔冲击器近来有不存在此类问题的探讨。对于一般正循环钻进,压缩空气在钻杆与孔壁环间间隙的上返流速,一般推荐在15-30m/s。有的工作环境复杂施工小组就推荐排岩所需风量往往还超过潜孔冲击器工作风量。在钻杆直径与钻头直径相差较大时,潜孔冲击器在低风压选运转,因气量不足,不能产生足够的气流速度,岩屑不能及时排出孔外而堆积在孔底,这样容易出现埋钻,导致孔内事故发生。

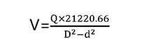
因此,在进行大孔径潜孔冲击时。钻孔直径和所用钻杆直径级差比大时,就出现了潜孔冲击器供风量不能满足排渣所需风量的问题,所以携带孔底岩屑钻杆直径与井壁之间的环状间隙就显得尤为重要。供风量的选择与确定,主要是要保证一定的环空上返风速,依下列公式推算(正循环大于15m/s):

image.png

式中:V-上返风速m/s;Q-供风量m3/min;D-钻孔直径mm;d-钻杆mm。

选择好风量、风速和风压的技术关键在于如何掌握好2个关系:空气能量和循环阻力的关系;上返速度和清空效果的关系;介质密度和钻井条件的关系。在解决好上述关系的同时,还要采取相应的技术措施,如:增加供风量和供风压力;减小环流断面;有条件时选择反循环冲击器钻进;合理选用冲击器器型号;调整介质密度,采用气液两相介质循环,如采用泡沫剂、雾化以及其他充气介质等。通常规律是其相同条件下风压愈高钻速愈快。随孔深的增加所需压力也增大如钻Φ120mm的钻孔,深150m时需要消耗风压1.4Mpa,深200m是需要消耗风压1.7Mpa。另外用空气泡沫钻进消耗风压约比纯净空气增大0.18Mpa,同样条件下,如孔深200m时用空气泡沫其冲孔风压为2.21Mpa,而纯净空气钻进风压仅为1.7Mpa,不同冲孔方法对配备空压机能力的要求也不同。此外,在有水的情况下钻进,背压对潜孔冲击器没10m增加0.1Mpa。

   为减少岩屑堆积,还可在潜孔冲击器上部安装沉淀管的办法,能取得效果,并使风量消耗减轻。

2、轴向压力

   从冲击碎岩原理来看,岩石主要是靠冲击动载作用下破碎的,因此潜孔冲器器钻进效率的高低,主要是取决于冲击功的大小和冲击频率的多少,而轴压是保证冲击功充分发挥作用的辅助力,过大过小都会影响钻进正常进行,大则会引起钻具的振动、钻头过早磨损、硬质合金齿掉落、回转困难;过小将会影响冲击功的有效传递。

   表1列出几种规格潜孔钻进时推荐选用的轴向压力范围,如果钻孔内钻柱自身重力超出其范围时应采取减压钻进。

表1 风动潜孔冲击器钻进推荐的轴向压力

潜孔冲击器直径/mm

最低钻压/kN

最大钻压/kN

76

1.5

3.0

102

2.5

5.0

127

4.0

9.0

152

5.0

15.0

203

8.0

20.0

305

16.0

35.0

 

 

 

潜孔冲击器钻进主要靠活塞来冲击钻头,而不是靠钻杆柱加压提高钻速。这不同图牙轮钻头回转钻进。因此,为防止钻杆剧烈震动,尽可能选用下限值,钻压过高会损坏冲击器和钻头,使钻速下降。

3、转速

潜孔冲击器钻进是属于慢回转的一种钻进方法,合理的转速选择,对钻头寿命乃至钻进成本至关重要。它主要与冲击器所产生的冲击功的大小、冲击器频率的高低、钻头的形式以及钻岩的无力机械性质有关。潜孔钻进以冲击碎岩为主,所以无需过快的线速度。转速太快,对钻头的寿命不利,特别在研磨性强的岩层,转速硅块将使钻头外围的刃齿很快磨损和碎裂。

   如果转速太慢,则将使柱齿冲击时与已有冲击破碎点(凹坑)重复,导致钻速下降。常规是岩石愈硬货钻头直径愈大,愈要求用较低之转速。

   在某些严重裂隙性岩层中钻进,有时为防止卡钻而采用增加转速的办法。但也要注意有时卡钻是因为钻头已过度磨损,而增加转速会使问题复杂化。

   对潜孔冲击器钻进,最有钻头回转速度,应以获得有效的钻速、平衡的操作和经济的钻头寿命作为一般要求。

岩层分类

合理转速r/min

覆盖层

40-60

软岩层

30-50

中硬岩层

20-40

硬岩层

10-30

 


申明:公司所有数据均来自于株洲精德内部统计

潜孔钻头厂家_低风压潜孔钻头厂家_高风压钻头厂家-米数多

联系人:刘经理

手机:18673432155

邮箱:330855231@qq.com